top of page
Home
Residents
Berwyn Municipal Library
Clubs & Organizations
Community Newsletter
Education
Local Businesses
Payment Options
Religious Establishments
Resident FAQ
Snow Removal
Transfer Station Information
Visitors
Local Businesses
Tourism
Departments
Administration
Bylaw & Animal Control
Careers
Community Services
Public Works
Fire Department
Planning & Development
Council
Council Contacts
Committee & Board Representation
Operating Plan
Bylaws
Policies
Financial Statements
Council Meeting Agendas
Meeting Minutes
Berwyn Vision
Economic Development
Storefront Improvement Policy
Residential Tax Incentives
Non-Residential Tax Incentives
Demographics
More
Use tab to navigate through the menu items.
All Posts
January 2023
February 2023
March 2023
April 2023
May 2023
December 2022
November 2022
October 2022
September 2022
August 2022
June 2022
May 2022
April 2022
March 2022
February 2022
July 2021
June 2023
July 2023
September
January 2024
February 2024
March 2024
August 2024
Search
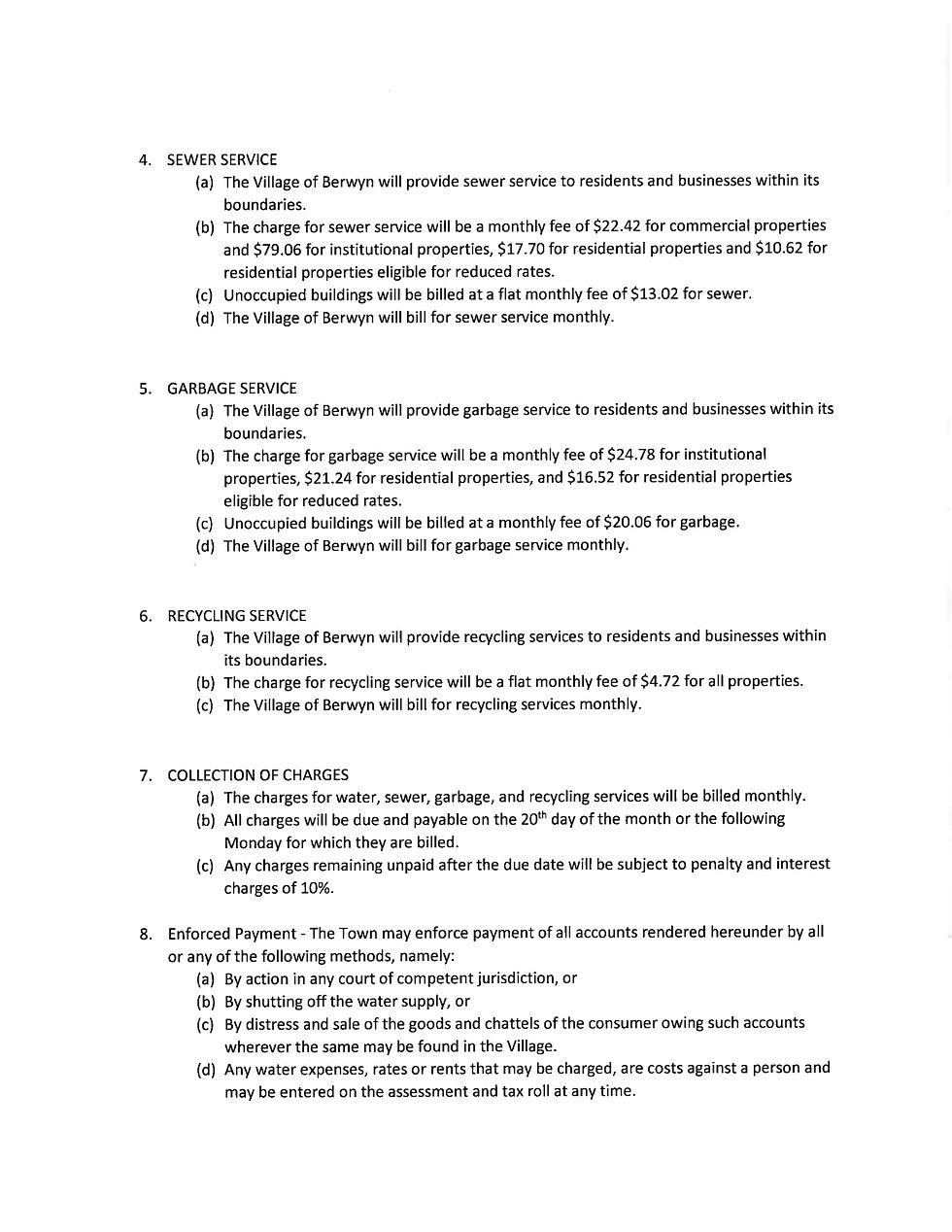
Bylaw 702 Utility Bylaw
finance0415
Apr 24, 2023
0 min read
Recent Posts
See All
Volunteers of the Month - Neil & Gail Sandboe
Bylaw and Animal Control Officer
Council Highlights - January 22, 2026
Comments
Write a comment...
Write a comment...
bottom of page
Comments